Parcial 2

 TEMA 1

Principio de Pascal

La presión es la eficiencia de una cierta fuerza a menudo depende del área sobre la que actúa.

la presión P está dada por la ecuación:

 

Esta expresión señala que, a mayor fuerza aplicada, mayor presión y a mayor área sobre la cuál actúa la fuerza, menor presión.

la diferencia que hay entre cómo actúa la fuerza de un fluido y como lo hace sobre un sólido es que  el sólido es un cuerpo rígido, puede soportar que se le aplique una fuerza sin cambiar apreciablemente su forma, y un líquido puede soportar una fuerza únicamente en un superficie o frontera cerrada.

Presión hidrostática, considerando la densidad del líquido y la profundidad a la que se encuentre el punto.


La mayoría de los dispositivos que permiten medir la presión directamente miden en realidad la diferencia entre la presión absoluta y la presión atmosférica. El resultado obtenido se conoce como la presión manométrica.

Presión absoluta = Presión manométrica + Presión atmosférica

Ejercicios



Aplicaciones en la vida cotidiana

 la prensa hidráulica, consta esencialmente de dos cilindros de diferente diámetro, cada uno con su respectivo émbolo, unidos por medio de un tubo de comunicación. Se llenan de líquido el tubo y los cilindros, y al aplicar una fuerza en el émbolo de menor tamaño la presión que genera se transmite íntegramente al émbolo mayor. Al penetrar el líquido en el cilindro mayor, unido a una plataforma, el líquido empuja el émbolo hacia arriba.

-La prensa hidráulica se utiliza en:

-Estaciones de servicio para levantar automóviles

-En la industria

-Para comprimir algodón o tabaco

-Para extraer aceite de algunas semillas, o jugos de algunas frutas

-Los frenos hidráulicos de los automóviles

La presión en el émbolo menor está dada por la relación de la fuerza (F1) entre el área (A1) y en el émbolo mayor por la relación de la fuerza (F2) entre el área (A2).

Ejercicios

 



 TEMA 2

Principio de Arquímedes

 El principio de Arquímedes es el principio físico que afirma: «Un cuerpo total o parcialmente sumergido en un fluido en reposo experimenta un empuje vertical hacia arriba igual al peso del fluido desalojado». Esta fuerza​ recibe el nombre de empuje hidrostático o de Arquímedes, y se mide en newtons.





 TEMA 3

Ecuación de continuidad

Ecuación de Continuidad, que se basa principalmente en un tubo de secciones transversales diferentes, como el que se muestra en la imagen, el gasto que fluye por la sección transversal 1, es igual al gasto que fluye por la sección transversal 2, es decir, la cantidad de líquido que pasa por 1 y 2 es la misma.

La fórmula es la siguiente:

Dónde:

A1 = área de la sección transversal en el punto 1

A2 = área de la sección transversal en el punto 2

V1 = velocidad del líquido en el punto 1

V2= velocidad del líquido en el punto 2

Ejercicios

Problema 1.- Por una tubería de 0.11 m de diámetro circula agua a una velocidad de 3 m/s ¿cuál es la velocidad que llevará el agua, al pasar por un estrecho de la tubería donde el diámetro es de 0.04 m? 

 Solución: Vamos a considerar a nuestros datos para poder facilitarnos el cálculo.

 V1 = 3m/s               Si analizamos nuestra fórmula:

D = 0.11 m              Despejando a “v2”, obtenemos:


d = 0.04 m                          Aunque es claro que en nuestra fórmula nos          

      v2 =?                          pidan áreas y no diámetros, podemos hacer la relación siguiente.

                  

                                    

     

          Podemos simplificar en la parte del numerador con el denominador a π/4, entonces:   

                                    


              

          Ahora, sustituyendo:


          resultado: Obtenemos una velocidad de 22.68 m/s

Ejemplo 2.- Por una manguera de bomberos de 0.25 metros de diámetro sale a presión agua que fluye a una velocidad de 10.5 m/s, si la manguera se achica en su boquilla de salida a 0.1 metros de diámetro ¿con qué velocidad saldrá el chorro?

Solución: 

Nuevamente recolectamos los datos del problema.



 TEMA 4

Teorema de Bernoulli

El teorema de Bernoulli, también conocido como el principio de Bernoulli; una postulación del científico suizo Daniel Bernoulli.

Este enunciado se enfoca en probar el comportamiento de un fluido que circula en una línea de corriente. Se establece que el fluido ideal no posee ningún tipo de viscosidad, y no está sometido a fricción. Así mismo, al encontrarse en circulación dentro de un conducto cerrado, si se cumplen estas características, su energía permanecerá constante.

La aplicación de este teorema se ha relacionado estrechamente con la ingeniería. Y puede ser usado para el estudio de distintos tipos de fluidos, por lo que se han detallado distintas formas de la ecuación de Bernoulli.

¿Qué es el teorema de Bernoulli?

El principio de Bernoulli se basa en el estudio del comportamiento de un fluido que se mueve a través de un sistema cerrado. El fluido en cuestión de cumplir con ciertas características para ser considerado como ideal; teniendo esto, se declara que durante su movimiento no debe existir rozamiento ni viscosidad. Y al encontrarse en un conducto cerrado, la energía permanece constante durante todo el recorrido.

Ecuación del teorema de Bernoulli

Teniendo en cuenta la teoría, se tiene que el teorema trabajo únicamente con tres tipos de energía:

Cinética: hace referencia a la velocidad que posee un fluido.

Potencial: relacionada con la altitud que posee un fluido.

De presión: equivale a la energía de un fluido resultado de la presión a la que está sometido.

A partir de estas, se establece la siguiente fórmula:

 Definiendo las variables:

 V = velocidad del fluido

p = densidad del fluido

P = presión del fluido en la línea de corriente

g = aceleración gravitatoria

z = altura en la dirección de la gravedad

Restricciones de la Ecuación de Bernoulli

Aunque la ecuación de Bernoulli se aplica a muchos problemas prácticos, o ejemplos hay ciertas limitaciones que se deben de considerar, a fin de aplicarse con la propiedad adecuada.

1.- Es válida solamente para fluidos incompresibles, ya que el peso específico del fluido permanece constante en la sección inicial y final.

2.- No puede haber sistemas mecánicos que agreguen o retiren energía del sistema entre la sección inicial y final, ya que la energía del sistema permanece constante.

3.- Al igual que el punto dos, no puede haber transferencia de calor hacia el fluido o fuera de éste.

4.- No debe considerarse la pérdida de energía debido a la fricción.

Ejercicios

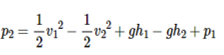
Problema 1: Un flujo de agua va de la sección 1 a la seccion 2. La sección 1 tiene 25 mm de diámetro, la presión manométrica es de 345 kPa, y la velocidad de flujo es de 3 m/s. La sección 2, mide 50 mm de diámetro, y se encuentra a 2 metros por arriba de la sección 1. Si suponemos que no hay pérdida de energía en el sistema. Calcule la presión “P2”

Solución:

 Tenemos que analizar nuestros datos, es decir, que es lo qué si tenemos y lo que nos hace falta por encontrar, así también realizar el despeje de la variable que vamos a calcular. Entonces procedemos:

Datos:

d1 = 25 mmd2 = 50 mm

p1 =345 Kpa

v1 = 3 m/s

d2 = 50 mm

p2  =?

 Si leemos bien el problema, nos daremos cuenta que tenemos la altura, ya que si hacemos h2 – h1 = 2 metros. Por lo que nos ahorramos algo de cálculo. Finalmente procedemos a despejar a p2 de la fórmula que ya tenemos:


Despejando y para hacer más fácil el proceso, recordemos que la densidad del agua no tendrá ninguna variación tanto al inicio como al final, entonces podemos decir que la densidad será constante, y la podemos omitir para el cálculo.

Sin embargo nos hace falta v2, ya que no la tenemos, pero si tenemos el dato de los diámetros, entonces si recordamos bien; podemos hacer uso de la ecuación de continuidad  qué es una ecuación que deriva del gasto

Así que:

A1V1= A2V2

Despejamos “V2”


Factorizamos un poco:











No hay comentarios.:

Publicar un comentario

La Física y nuestro aprendizaje.

  ¿Qué es Física? La Física es la ciencia que estudia las propiedades de la energía y la materia, así como el tiempo, el espacio y las int...